Ruixiang Li

Image Processing图像处理

Image Processing图像处理

一张图片就是一个二维函数$I(x, y)\in[0,255]\in\mathbb{Z}$,$(x,y)\in([1,width],[1,height])$,有颜色图则是$I(x, y,c)$。(注:左上角为原点,上x左y。)

1.像素/点处理

处理 函数
原样 $I(x,y)$
暗化darken $I(x,y)-128$
亮化lighten $I(x,y)+128$
低对比low contrast $I(x,y)/2$
反相invert $255-I(x,y)$
灰度图gray $dot([0.3,0.6,0.1],I(x,y))$

我们可以将图像像素处理总结为:

\[g(x)=a(x)f(x)+b(x)\]

其中$f(x)$是处理前的像素,$a(x)$调整像素的对比度,$b(x)$调整像素的明暗程度。

2.Histogram Equalization直方图均衡化

首先将原图像的直方图(纵轴数量,横轴亮度/像素值)绘制出来,可以发现不同位置颜色和亮度分布非常不均匀。

首先我们计算像素(在不同亮度下)的累积分布,除以总数后得到概率密度的累积分布图;再映射到[0, 255],就得到了原图像像素值到新像素值的映射,也就实现了直方图均衡化。

直方图均衡化通过对图像的亮度值进行转化,使像素值按更均匀的分布排列,凸显更多的细节。(其实就是按排名分布像素值)

先考虑一个均匀分布(Uniform distribution) 的随机数生成器$U$:

\[U_n=(aU_{n-1}+c)\mod{m}\]

这是一个线性同余生成器,$a$、$c$、$m$均为质数,用于生成伪随机数。为了让生成的随机变量$X$能够服从某种分布,我们需要$X$的累积分布函数CDF:$F(X)$,则有:

\[X=F^{-1}(U)\]

将均匀分布$U$转化为随机变量$X$。

\[P(X < x)=P(F^{-1}(U) < X)=P(U<F(x))=F(x)\]

直方图均衡化也使用了类似的逆变换原理。它将原始图像的灰度值当作随机变量,通过其累积分布函数(CDF)对其进行均衡化,使得输出灰度值更加均匀。

这种方法可以实现任意两种发布的互相转化。

Image Filter图像滤波(线性)

像素/点操作可以看作 1x1 的滤波。

\[I(i, j) = \sum_{k=-p}^{p} \sum_{l=q}^{-q} I(i + k, j + l) \cdot h(k, l)\]

输出像素可以视为输入像素一个邻域内像素的加权平均。

然后处理边界?

torch.nn.functional.pad(image, pad, mode="contant", value = None).
mode - 'constant', 'reflect' or 'circular'

(一般要求Kernel总和为1,以免导致图像亮度变化)

1.Box Fliter

\[\frac{1}{9}\begin{bmatrix} 1&1&1\\1&1&1\\1&1&1 \end{bmatrix}\]

模糊图像。

2.Gaussian Filter/Low Pass Filtering高斯滤波/低通滤波

指定$\sigma^2 =1$:

\[\frac{1}{16}\begin{bmatrix} 1&2&1\\2&4&2\\1&2&1 \end{bmatrix}\]

模糊图像,但过渡平滑,更加自然,能够更好地保留边缘和降噪。

3.Sharpening Filter锐化滤波

\[\begin{bmatrix} 0&0&0\\0&2&0\\0&0&0 \end{bmatrix}-\frac{1}{9}\begin{bmatrix} 1&1&1\\1&1&1\\1&1&1 \end{bmatrix}\\ I+\lambda (I-I_{blur})\]

可以提高图像对比度,即“锐化”:突出高频去低频

为了加速滤波,有一些滤波器是 “可分离的”(Separable)

Separable Filtering

我们可以将一个二维的滤波器分解为两个一维滤波器,将每个像素的运算次数从$K^2$降到$2K$,其中:$K=vh^T$:

\[\frac{1}{K^2}\begin{bmatrix} 1&1&\cdots&1\\1&1&\cdots&1\\\vdots&\vdots&\ddots&\vdots\\1&1&\dots&1 \end{bmatrix}\rightarrow \frac{1}{K}[1,1,\cdots,1]\] \[\frac{1}{16}\begin{bmatrix} 1&2&1\\2&4&2\\1&2&1 \end{bmatrix}\rightarrow \frac{1}{4}[1,2,1]\]

Properties

数学中称为Cross-Correlation:

\[g(i, j) = \sum_{k, l} f(i + k, j + l) h(k, l)\]

而卷积Convolution:

\[g(i, j) = \sum_{k, l} f(i - k, j - l) h(k, l) \\= \sum_{k, l} f(k, l) h(i - k, j - l)\]

相较于“相关”,卷积还需要对卷积核进行翻转。

对于卷积神经网络,其实是在作“相关”运算。两者都称为 “线性移位不变性linear shift-invariant”LSI 运算:

卷积操作是CNN的核心,网络通过卷积层提取特征。

输入数据 > 卷积层 > ReLU激活 > 池化 > 全连接层 > 分类

卷积和相关两者都可以表示为矩阵向量的乘积:

\[g=Hf\]

即使用一个稀疏矩阵来进行相关操作,例如:

\[[72,88,62,52,37]\cdot[\frac{1}{4},\frac{1}{2},\frac{1}{4}]\rightarrow \frac{1}{4}\begin{bmatrix} 2 & 1 & & & \\ 1 & 2 & 1 & & \\ & 1 & 2 & 1 & \\ & & 1 & 2 & 1 \\ & & & 1 & 2 \end{bmatrix} \begin{bmatrix}72\\88\\62\\52\\37\end{bmatrix}\]

Non-Linear Filter(非线性滤波)

1.Median Filter中值滤波

高斯滤波的问题#1:不能很好地去除噪音、且边缘模糊。

中值滤波器:对于给定范围内,取到中间值的滤波器。

可以有效减少某些类型的噪音,如脉冲噪音(也称为‘椒盐’噪音或‘瞬态’噪音)。中值滤波使得具有不同值的点更像它们的邻居。

2.Bilateral Filter双边滤波

高斯滤波的问题#2:滤波核在整个图像中是均匀的。它不依赖于图像的内容。

双边滤波/Content-Aware Dynamic Filter内容感知动态过滤器:滤波核与图像内容有关,既可以去除噪音,又可以很好得保留特征。实现双边滤波器需要两个高斯:

\[d(i,j,k,l)=\exp{(-\frac{(i-k)^2+(j-l)^2}{2\sigma_d^2})}\] \[r(i, j, k, l) = \exp\left(-\frac{\|\mathbf{f}(i, j) - \mathbf{f}(k, l)\|^2}{2\sigma_r^2}\right)\] \[w(i, j, k, l) = \exp\left(-\frac{(i - k)^2 + (j - l)^2}{2\sigma_d^2} - \frac{\|\mathbf{f}(i, j) - \mathbf{f}(k, l)\|^2}{2\sigma_r^2}\right)\]

最后在滤波过程中对结果作归一化:

\[\mathbf{g}(i, j) = \frac{\sum_{k, l} \mathbf{f}(k, l) w(i, j, k, l)}{\sum_{k, l} w(i, j, k, l)}\]

对一张图片连续使用5次双边滤波后会有卡通风格(临近像素同化为几乎同种颜色,差异较大的像素块之间差异增大,形成类似油画分块上色的卡通效果)

Attention?(*)

对于归一化过程,我们可以认为这是一个softmax函数:

\[BilateralFilter=softmax(-(F_i-F_j)^2/\sigma)\]

我们可以调整filter为具有动态权重的Attention(Attention机制本身就会考虑不同方面的相关性,可以视为广义的Filter)

\[Attention(X_q,X_k,X_v)=softmax(\frac{QK^T}{\sqrt{D}})V\]

Application of Filters应用

1.Template Matching模板匹配

模板匹配最经典的引发是人脸识别,将其转化为一个Template在图像种找最高相似性的问题。

我们将这个Template作为一个Kernel对图像作滤波,亮度最高的位置就是目标位置。

\[g(i, j) = \sum_{k, l} f(i + k, j + l) h(k, l)\]

为了防止局部像素太大导致错判,我们对结果做一次归一化;

\[g(i, j) = \frac{\sum_{k, l} f(i + k, j + l) h(k, l)}{\sqrt{\sum_{k, l} f(i + k, j + l)^2} \sqrt{\sum_{k, l} h(k, l)^2}}\]

2.Photography with Flash/No-Flash Pair

在昏暗条件下拍摄存在的问题:

能不能将两张图片的优点结合?有的,兄弟有的。下称两张图片为No-FlashFlash

No-Flash作双边滤波时,如果$\sigma_r$太大会造成过度平滑;太小则会导致平滑效果差,不能很好地去噪。但我们不能直接拿带噪音的图像去衡量相似性,调整到不大不小可以,但并不perfect。于是,我们可以想到:拿Flash这张无噪声的图片来衡量相似性。

所以我们引入Joint Bilateral Filter联合双边滤波

加入另一张图像作为引导图,告诉他哪两个像素很相像:对No-Flash作用Domain Kernel、而对Flash使用Range Kernel,即距离权重保持不变,但颜色权重使用引导图权重。

(类似Attention中的Cross-Attention)

接下来还需要处理怎么加入细节的问题:因为现在有Flash这个无噪点且有细节的图片,我们对Flash做一次双边滤波,将原图像各点与滤波后图像作除法,得到具有细节信息的图像(Detail Layer)。

(不用减法是因为两个图像色调不一样。提取图像细节的本质是保留甚至扩大对比度对比度信息)

最后将提取到的特征乘到联合双边滤波后的图像上,就可以即保留色调又保留细节。

Upsampling/Downsampling Pyramids

上采样/下采样:宏观上可以理解为在保证图像可视(即没有噪点、锯齿等因素)的条件下放大缩小图像(即改变分辨率)。

Subsampling(其实就是Downsampling)

当采样率不足时,会出现 “走样”Aliasing,导致图像细节缺失。为了解决走样问题,我们首先需要将图像的高频消息滤除。而高斯滤波就可以平滑高频信息。(又称低通滤波)

在信号处理领域(包括图像处理),频率表示信号变化的速率:

Gaussian Pyramid高斯金字塔

从原图像出发,每进行一次模糊(高斯滤波)+ 一次下采样,即得金字塔的下一层。

example:Detection人脸检测

例如,对于一个M x M的人脸模板,需要在N x N的图片上匹配,将模板逐步放大后进行滤波比较的计算开销太大,于是可以将图像做高斯金字塔,并以此进行模板匹配。

Upsampling升采样

升采样最简单的想法是 “Nearest neighbor interpolation”最近邻插值,即直接将最近的像素复制过去。但是这样得到的结果并不平滑。

Interpotion插值

插值是一种基于一组已知离散数据点来构造(或寻找)新的数据点的方法。

\[g(x)=\sum_kc_ku(\frac{x-x_k}{h})\]

例如使用box filter作为$u$,就可以对应到最近邻插值。但是得到的结果并不连续;

改进后我们可以使用线性插值作为$u$,得到的函数是$C^0$连续的。但是在原函数采样点处仍然不连续;

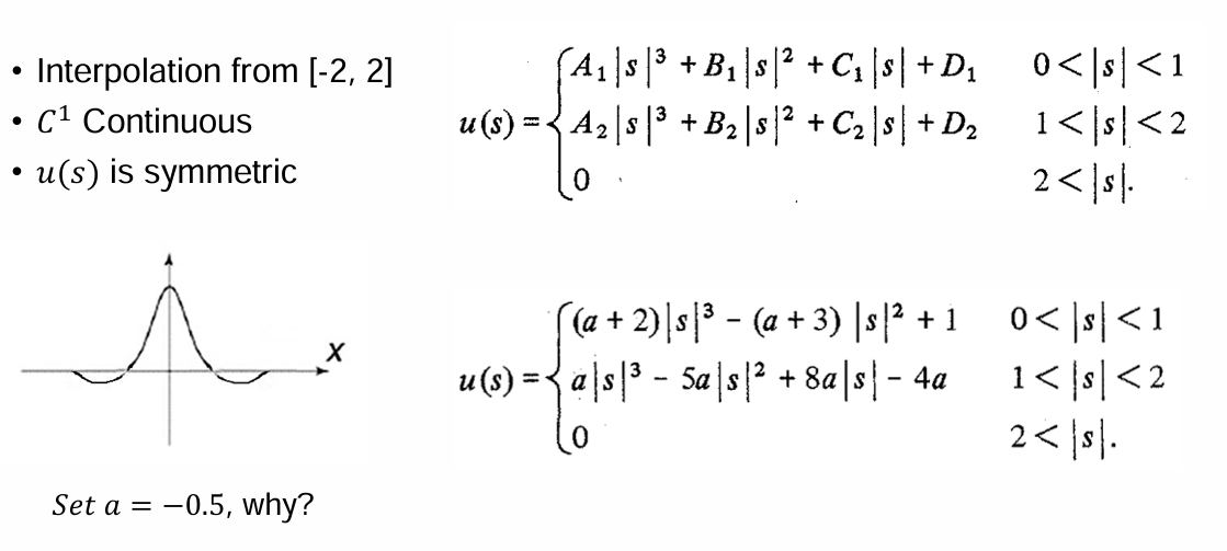
继续改进后就得到了Cubic插值,得到的函数是$C^1$连续的。其插值范围是$[-2,2]$,具体推导(反正就是待定系数法)见下:

image1

image2

image3

对于图像插值,就是在某个方向上插值,将得到的结果在另一个方向上再次插值。所以,图像插值需要附近的4个点。

而像素对齐的方式,也会极大的影响插值效果。使用pytorch进行图像处理时,可以选择角点对齐的形式,如下:

image4

近似(Approximation)插值(Interpotion) 的区别在于,插值对于所需的函数有一定要求。他要求函数在目标点处为1,其他地方为0;但近似并不要求结果函数结果采样点,例如:

\[g(x) = \frac{\sum_k c_k u\left(\frac{x - x_k}{h}\right)}{\sum_k u\left(\frac{x - x_k}{h}\right)} ,u(x) > 0\]

Joint Bilateral Upsampling联合双边上采样

(AIGC警告)

联合双边采样是一种图像处理技术,用于将低分辨率图像(例如深度图)通过高分辨率的参考图像(例如彩色图像)进行高质量的上采样。这种方法能够提高效率,同时保持边缘细节。

核心思路:

  1. 输入图像处理:
    • 首先对输入图像进行降采样(即降低分辨率)。

联合双边滤波公式

\[\tilde{S}_p = \frac{1}{k_p} \sum_{q \in \Omega} S_q \cdot f(\|\mathbf{p}_1 - \mathbf{q}_1\|) \cdot g(\|\tilde{\mathbf{I}}_p - \tilde{\mathbf{I}}_q\|)\]

其中:

优势:

总结来说,联合双边采样是一种结合边缘敏感性和空间权重的智能上采样方法,能够在高效计算的同时确保结果质量。

Laplacian Pyramid拉普拉斯金字塔

拉普拉斯金字塔可以视为高斯金字塔的反向。假设我们通过高斯金字塔获得了一系列大小的图片 G1、G2、G3、G4;对每一层都进行上采样和滤波,使大小恢复上一级分辨率;将相同分辨率的层级之间进行减法,得到拉普拉斯金字塔的某一层。

拉普拉斯金字塔用于提取图像的各级高频特征,以及用于图像压缩和重建。

只需要将高斯金字塔的最底层与拉普拉斯金字塔的各级图像进行联合双边上采样,就可以恢复原有图像。

高斯函数定义为:

Transformation变形